Welcome Guest (
ავტორიზაცია
|
რეგისტრაცია
)
ვალიდაციის წერილის ხელახალი გაგზავნა
წესები
·
დახმარება
·
ძებნა
·
წევრები
·
კალენდარი
·
რჩეულები
·
ჩატი
თბილისის ფორუმი
->
თემატური ფორუმი
->
მეცნიერება და განათლება
->
განათლება
·
ახალი თემა
·
ახალი გამოკითხვა
Pages:
(101)
« პირველი
...
93
94
[95]
96
97
...
ბოლო »
(
გადავიდეთ პირველ წაუკითხავ წერილზე
)
სამაგისტრო გამოცდები
, 2011
მივიღოთ შეტყობინება ამ თემის განახლების შესახებ
·
გაუგზავნეთ ეს გვერდი სხვას
·
ამოსაბეჭდი ვერსია
|
თემის რჩეულებში დამატება/წაშლა
ამ ფორუმელის პოსტინგები გაქვთ იგნორირებული, ნახვისთვის დააწკაპუნეთ აქ
A1oneman
Not alone anymore
ჯგუფი: Members
A1oneman
Not alone anymore
ჯგუფი: Members
წერილები: 3553
წევრი No.: 120019
რეგისტრ.: 24-August 10
#26441893
· 13 Jul 2011, 15:02 · ·
პროფილი
·
პირადი მიმოწერა
·
ჩატი
ამ გამოცდების ჩაბარების შემდეგ გვეშველება რამე?
» სპოილერის ნახვისთვის დააწკაპუნეთ აქ «
» სპოილერის ნახვისთვის დააწკაპუნეთ აქ «
» სპოილერის ნახვისთვის დააწკაპუნეთ აქ «
» სპოილერის ნახვისთვის დააწკაპუნეთ აქ «
» სპოილერის ნახვისთვის დააწკაპუნეთ აქ «
» სპოილერის ნახვისთვის დააწკაპუნეთ აქ «
» სპოილერის ნახვისთვის დააწკაპუნეთ აქ «
» სპოილერის ნახვისთვის დააწკაპუნეთ აქ «
» სპოილერის ნახვისთვის დააწკაპუნეთ აქ «
--------------------
i4science.blogspot.com
·
ციტირება
·
^
ამ ფორუმელის პოსტინგები გაქვთ იგნორირებული, ნახვისთვის დააწკაპუნეთ აქ
xatatula
Lemona's girl
ჯგუფი: Members
xatatula
Lemona's girl
ჯგუფი: Members
წერილები: 6565
წევრი No.: 44207
რეგისტრ.: 17-October 07
#26442004
· 13 Jul 2011, 15:07 · ·
პროფილი
·
პირადი მიმოწერა
·
ჩატი
A1oneman
რას მერჩოდი ძლივს ჩავედი იმ პატარა ჭიამდე
--------------------
Pocahontas
-.-.-.-.-.-.-.-.-.-.-.-.-.-.-.-.-.-.-.-.-.-.-.-.-.-.-.-.-.-.-.-.-.-.-.-.-.-.-.-
One ring to rule them all, one ring to find them,
One ring to bring them all and in the darkness bind them.
·
ციტირება
·
^
ამ ფორუმელის პოსტინგები გაქვთ იგნორირებული, ნახვისთვის დააწკაპუნეთ აქ
A1oneman
Not alone anymore
ჯგუფი: Members
A1oneman
Not alone anymore
ჯგუფი: Members
წერილები: 3553
წევრი No.: 120019
რეგისტრ.: 24-August 10
#26442037
· 13 Jul 2011, 15:09 · ·
პროფილი
·
პირადი მიმოწერა
·
ჩატი
xatatula
QUOTE
A1oneman რას მერჩოდი ძლივს ჩავედი იმ პატარა ჭიამდე biggrin.gif biggrin.gif biggrin.gif
ხომ არ გაქცეულა?
·
ციტირება
·
^
ამ ფორუმელის პოსტინგები გაქვთ იგნორირებული, ნახვისთვის დააწკაპუნეთ აქ
xatatula
Lemona's girl
ჯგუფი: Members
xatatula
Lemona's girl
ჯგუფი: Members
წერილები: 6565
წევრი No.: 44207
რეგისტრ.: 17-October 07
#26442125
· 13 Jul 2011, 15:14 · ·
პროფილი
·
პირადი მიმოწერა
·
ჩატი
A1oneman
არა დაცუნცულებს თავისთვის
·
ციტირება
·
^
ამ ფორუმელის პოსტინგები გაქვთ იგნორირებული, ნახვისთვის დააწკაპუნეთ აქ
Gillen
Super Member
ჯგუფი: Registered
Gillen
Super Member
ჯგუფი: Registered
წერილები: 951
წევრი No.: 132980
რეგისტრ.: 26-June 11
#26442186
· 13 Jul 2011, 15:17 · ·
პროფილი
·
პირადი მიმოწერა
·
ჩატი
xatatula
შენც არ დაგეზარა?!
ბოლომდე ვხსნიდი, მაინტერესებდა რამდენად რთულადაა საქმე
·
ციტირება
·
^
ამ ფორუმელის პოსტინგები გაქვთ იგნორირებული, ნახვისთვის დააწკაპუნეთ აქ
xatatula
Lemona's girl
ჯგუფი: Members
xatatula
Lemona's girl
ჯგუფი: Members
წერილები: 6565
წევრი No.: 44207
რეგისტრ.: 17-October 07
#26442397
· 13 Jul 2011, 15:28 · ·
პროფილი
·
პირადი მიმოწერა
·
ჩატი
გილლენი
ნწუ არა, მეთქი რაიმე ამოცანა ხომ არ დადო სადღაც რთულად
·
ციტირება
·
^
ამ ფორუმელის პოსტინგები გაქვთ იგნორირებული, ნახვისთვის დააწკაპუნეთ აქ
GeorgeSword
Milky Way
ჯგუფი: Moderators
GeorgeSword
Milky Way
ჯგუფი: Moderators
წერილები: 31122
წევრი No.: 89609
რეგისტრ.: 23-April 09
#26442549
· 13 Jul 2011, 15:36 · ·
პროფილი
·
პირადი მიმოწერა
·
ჩატი
xatatula
QUOTE
გეპეიში არც არაფერი დაუბერავს
არც მაღლივშია სამოთხე
.............................
--------------------
All Blacks
·
ციტირება
·
^
ამ ფორუმელის პოსტინგები გაქვთ იგნორირებული, ნახვისთვის დააწკაპუნეთ აქ
EvolutionMR
Crazy Member
ჯგუფი: Registered
EvolutionMR
Crazy Member
ჯგუფი: Registered
წერილები: 1592
წევრი No.: 84818
რეგისტრ.: 17-February 09
#26442618
· 13 Jul 2011, 15:39 · ·
პროფილი
·
პირადი მიმოწერა
·
ჩატი
A1oneman,1
კუბში წყალი რომა ჩასხმული გააკეთეთ რა....
გავაკეთე ადრე ეხლა კი ვეღარ ვიხსენებ
This post has been edited by
EvolutionMR
on 13 Jul 2011, 15:40
·
ციტირება
·
^
ამ ფორუმელის პოსტინგები გაქვთ იგნორირებული, ნახვისთვის დააწკაპუნეთ აქ
lucia
think Green
ჯგუფი: Members
lucia
think Green
ჯგუფი: Members
წერილები: 4523
წევრი No.: 8748
რეგისტრ.: 15-February 05
#26443063
· 13 Jul 2011, 16:04 · ·
პროფილი
·
პირადი მიმოწერა
·
ჩატი
A1oneman
გ არის სწორი პასუხი?
აუ დღეს ტვინი არ მოძრაობს
--------------------
Without me, it's just aweso.
·
ციტირება
·
^
ამ ფორუმელის პოსტინგები გაქვთ იგნორირებული, ნახვისთვის დააწკაპუნეთ აქ
Bacho007
Interpreter
ჯგუფი: Members
Bacho007
Interpreter
ჯგუფი: Members
წერილები: 4989
წევრი No.: 122111
რეგისტრ.: 5-October 10
#26443080
· 13 Jul 2011, 16:04 · ·
პროფილი
·
პირადი მიმოწერა
·
ჩატი
ივ. ჯავახიშვილის სახელობის სახ. უნივერსიტეტის მაღლივი კორპ. ( უნივერსიტეტის 1)
ანუ უნივერსიტეტის ქუჩა ხო ქავთარაძის პარალელური, სადმე სხვაგან არ მივიდე
--------------------
Weakness Can Only Mean Death !!! !
·
ციტირება
·
^
ამ ფორუმელის პოსტინგები გაქვთ იგნორირებული, ნახვისთვის დააწკაპუნეთ აქ
A1oneman
Not alone anymore
ჯგუფი: Members
A1oneman
Not alone anymore
ჯგუფი: Members
წერილები: 3553
წევრი No.: 120019
რეგისტრ.: 24-August 10
#26443136
· 13 Jul 2011, 16:07 · ·
პროფილი
·
პირადი მიმოწერა
·
ჩატი
EvolutionMR
QUOTE
A1oneman,1 კუბში წყალი რომა ჩასხმული გააკეთეთ რა.... გავაკეთე ადრე ეხლა კი ვეღარ ვიხსენებ biggrin.gif
lucia
QUOTE
A1oneman გ არის სწორი პასუხი?
This post has been edited by
A1oneman
on 13 Jul 2011, 16:10
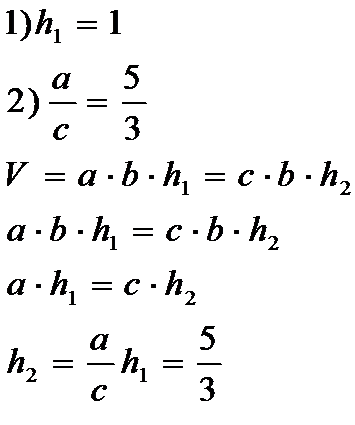
მიმაგრებული სურათი
·
ციტირება
·
^
ამ ფორუმელის პოსტინგები გაქვთ იგნორირებული, ნახვისთვის დააწკაპუნეთ აქ
xatatula
Lemona's girl
ჯგუფი: Members
xatatula
Lemona's girl
ჯგუფი: Members
წერილები: 6565
წევრი No.: 44207
რეგისტრ.: 17-October 07
#26443168
· 13 Jul 2011, 16:08 · ·
პროფილი
·
პირადი მიმოწერა
·
ჩატი
Bacho007
ხო ეგაა
მაღლივს კი დაინახავ, ვერ დაიკარგები რომც გინდოდეს
·
ციტირება
·
^
ამ ფორუმელის პოსტინგები გაქვთ იგნორირებული, ნახვისთვის დააწკაპუნეთ აქ
Bacho007
Interpreter
ჯგუფი: Members
Bacho007
Interpreter
ჯგუფი: Members
წერილები: 4989
წევრი No.: 122111
რეგისტრ.: 5-October 10
#26443227
· 13 Jul 2011, 16:11 · ·
პროფილი
·
პირადი მიმოწერა
·
ჩატი
xatatula
ხო რავი ზოგი ამბობს სასოფლოა ეგო
თბილისელი კაცი დამაბნიეს
·
ციტირება
·
^
ამ ფორუმელის პოსტინგები გაქვთ იგნორირებული, ნახვისთვის დააწკაპუნეთ აქ
Gillen
Super Member
ჯგუფი: Registered
Gillen
Super Member
ჯგუფი: Registered
წერილები: 951
წევრი No.: 132980
რეგისტრ.: 26-June 11
#26443904
· 13 Jul 2011, 16:46 · ·
პროფილი
·
პირადი მიმოწერა
·
ჩატი
სინოპტიკოსები
გვპირდებიან>>>>>21° 34°
მარაოს შეტანა შეიძლება ნეტა?? თუ ტესტებით დავინიავოთ
This post has been edited by
გილლენი
on 13 Jul 2011, 16:47
·
ციტირება
·
^
ამ ფორუმელის პოსტინგები გაქვთ იგნორირებული, ნახვისთვის დააწკაპუნეთ აქ
Bacho007
Interpreter
ჯგუფი: Members
Bacho007
Interpreter
ჯგუფი: Members
წერილები: 4989
წევრი No.: 122111
რეგისტრ.: 5-October 10
#26443980
· 13 Jul 2011, 16:51 · ·
პროფილი
·
პირადი მიმოწერა
·
ჩატი
გილლენი
·
ციტირება
·
^
1 მომხმარებელი ათვალიერებს ამ თემას (1 სტუმარი და 0 უჩინარი წევრი)
0 წევრი:
მივიღოთ შეტყობინება ამ თემის განახლების შესახებ
·
გაუგზავნეთ ეს გვერდი სხვას
·
ამოსაბეჭდი ვერსია
|
თემის რჩეულებში დამატება/წაშლა
«
აქეთ
|
განათლება
|
იქით
»
Pages:
(101)
« პირველი
...
93
94
[95]
96
97
...
ბოლო »
·
ახალი თემა
·
ახალი გამოკითხვა
Close Topic Options
მივიღოთ შეტყობინება ამ თემის განახლების შესახებ
მივიღოთ შეტყობინება ელფოსტაზე ამ თემაში ახალი გამოხმაურებების შესახებ როცა თქვენ არ იქნებით აქტიური ფორუმში.
მივიღოთ შეტყობინება ამ განყოფილების განახლების შესახებ
მივიღოთ შეტყობინება ელფოსტაზე ამ განყოფილების განახლების შესახებ როცა თქვენ არ იქნებით აქტიური ფორუმში.
თემის ჩამოტვირთვა / ამოსაბეჭდი ვერსია
ჩამოტვირთეთ ეს თემა სხვადასხვა ფორმატში, ან ნახეთ მისი ამოსაბეჭდი ვერსია.
Forum Home
Search
დახმარება
საერთო ფორუმი
- General Discussion
- უსათაურო
- ფორუმის შესახებ
თემატური ფორუმი
- პოლიტიკა (+1 sub-forums)
- ქალი და მამაკაცი
- კულტურა და ხელოვნება (+4 sub-forums)
- მეცნიერება და განათლება (+7 sub-forums)
- მელომანია (+2 sub-forums)
- დასაქმება საქართველოში (+1 sub-forums)
- ბიზნესი და ეკონომიკა (+2 sub-forums)
- სამართალი
- სპორტი (+8 sub-forums)
- ჯანმრთელობა და მედიცინა (+2 sub-forums)
- სილამაზე და მოდა (+1 sub-forums)
- ფსიქოლოგია
- არსენალი (+1 sub-forums)
- ავტომობილები (+4 sub-forums)
- ფლორა და ფაუნა
- თბილისი (+1 sub-forums)
- მასმედია (+1 sub-forums)
- ინტელექტუალური სამაგიდო თამაშები
- კულინარია
- მშენებლობა და რემონტი (+1 sub-forums)
- მოგზაურთა კლუბი (+1 sub-forums)
ტექნიკური კონფერენცია
- კომუნიკაციები (+7 sub-forums)
- კომპიუტერები და ელექტრონიკა
- ყიდვა - გაყიდვა - გაცვლა (Redirect Forum)
- WWW (+4 sub-forums)
- Games (+6 sub-forums)
- Georgianisation
- პროგრამები
- პროგრამირება (+5 sub-forums)
- კომპიუტერული გრაფიკა და დიზაინი
- Apple
- Android Club (+8 sub-forums)
- პინგვინები და ეშმაკუნები
ყიდვა - გაყიდვა
- კომპიუტერული ტექნიკა (+2 sub-forums)
- ელექტრო და საყოფაცხოვრებო ტექნიკა
- მობილური ტელეფონები
- ავტომობილები
- უძრავი ქონება
- სხვადასხვა
ფორუმის სერვერების განთავსებას და ინტერნეტთან კავშირს უზრუნველყოფს:
CLOUD9
[ Script Execution time: 0.1009 ] [ 12 queries used ] [ GZIP Disabled ]
Powered by Invision Power Board(U) v1.3 Final © 2003
IPS, Inc.