moodymanმგონი გამეხსნა გონება

ე ვარიანტი ამოვხსენი
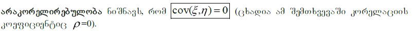
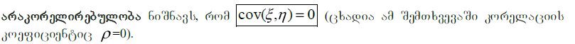
პირობაში ხო გვეუბნებიან იპოვეთ პ როდესაც ის სიგმა ეკუთვნის -1 ჩაკეტილ და პი/8 შუალედ შორის
ეს შუალედი როგორ უნდა გამოვსახოთ მაგალითით?
ვიღებთ ამ ფსიგმის მაღალ წევრს ანუ პი/8-ს და ვაკლებთ ამ ფუნქციის -1 მნიშვნელობას!
პი/8 ზე რას უდროს ეს ფუნქცია? ისევ იგივეს რადგან იგი ნაკლებია ამ ჩვენს პი/6 ზე
შესაბამისად ვსვამთ 2/ფესვი3*სინ2*პი/8 და ვაკლებთ ფუნქციის -1 მნიშვნელობას, რაც 0-ია რადგან აქ არ გვაქვს ფუნქციის მნიშვნელობა, ამიტომ ვხსნით ისევ ამ სინ პი/8 და გამოდის 2/ფესვი3*ფესვი2/2 რაც უდრის ფესვი (2/3)
ვოლა! ასე იხსნება ვ ვარიანტიც
ოღონდ ვ ში მოდულშია ჩასმული ცვენი სიგმა რაც ნიშნავს ის მერყეობს - პ12 დან + პი12 მდე
და ისევ ისე პი/12 აქვს ფუნქციას ჩვენი ანცნობი მნიშვნელობა
ხოლო -პი/12 არ აქვს და ვითვლით იგივენაირად
is2701
ბიჯო ჩოპინმა და ვივალდმა მიშველა
This post has been edited by Future> on 30 Apr 2014, 03:44