Papun38-ს დავხაზავ და ავტვირთავ რამდენიმე წუთში
39 ესე იყო
პირობა მილებზე იყო თუ ქარხნებზე თუ რაღაც ეგეთზე არ მახოვს
მოკლედ:
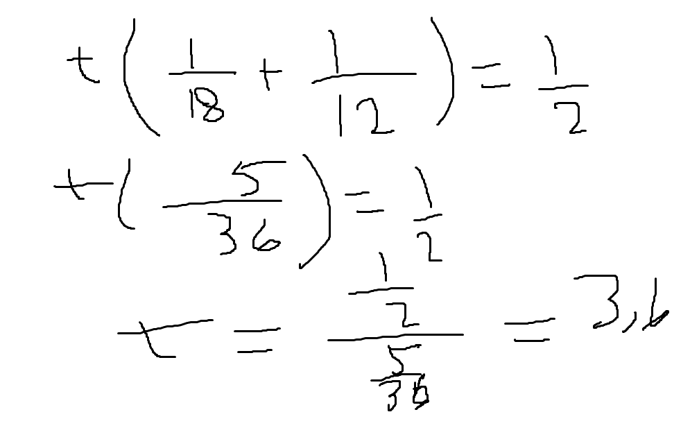
I სამუშაოს ასრულებდა 6 საათით ადრე ვიდრე მეორე
4 საათი ამუშავეს პირველი, მერე 3 საათი ამუშავეს მეორე და გამოვიდა რო ნახევარი საქმე გაკეთებული ჰქონდათ
რამდენ ხანში გააკეთებდნენ დანარჩენ საქმეს თუ ერთად იმუშავებდნენ
სხვებიც მახსოვს ამოცანებიდან
ე.ი.
M/N წილადის მრიცხველი გაზარდეს 5%-ით, რამდენით უნდა გაიზარდოს მნიშვნელი რო წილადი შემცირდეს 10%-ით
მოცემულია ტოლფერდა ტრაპეცია, დიაგონალი ფუძესთან ადგენ 30 გრადუსიან კუთხეს, შუახაზი 8 სმ-ია, გაიგე რას უდრის სიმაღლე
ვექტორებზეც დასახაზია, დავხაზავ ეხლავე და ავტვირთავ
* * *
ვექოტებზე მოცემული იყო უჯრები გამოსათვლელად ოღონდ არ მახსოვს
This post has been edited by QWertWQ on 15 Jul 2015, 13:32