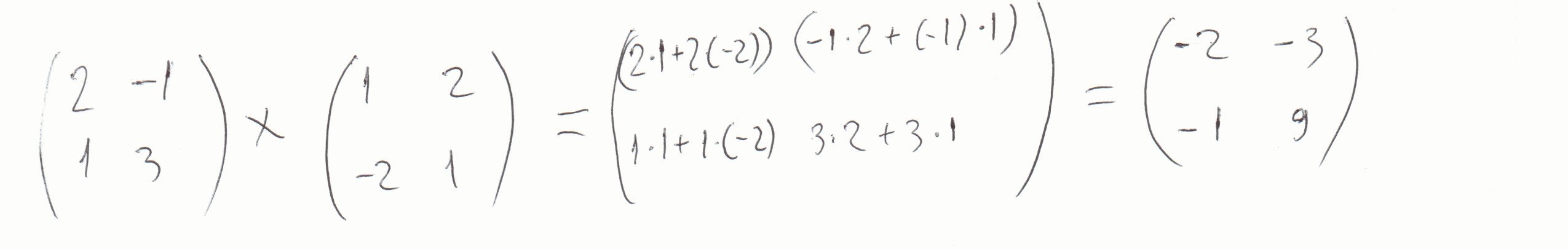
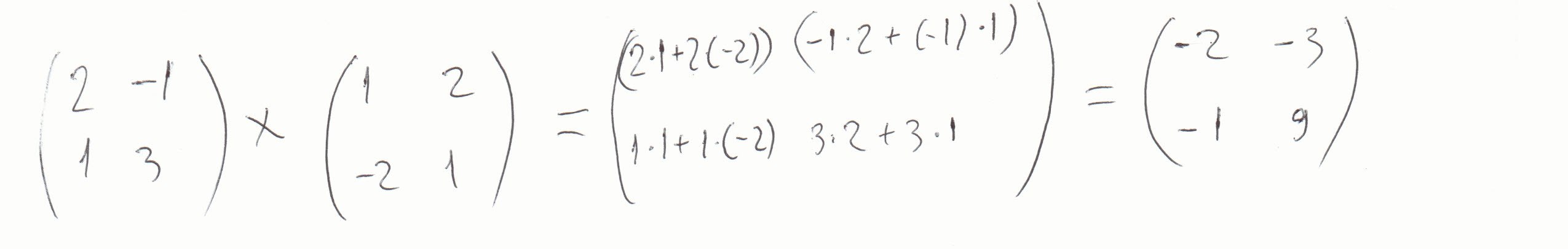
VACHERONგამრავლების წესი თუ სწორად მახსოვს, მაშინ ესეა:
პირველი მატრიცის პირველი სტრიქონის პირველ ელემენტს ამრავლებ მეორე მატრიცის პირველ სვეტზე და ჯამს წერ ნამრავლის პირველი სტრიქონის პირველ ელემენტად,
პირველი მატრიცის პირველი სტრიქონის მეორე ელემენტს ამრავლებ მეორე მატრიცის მეორე სვეტზე და ჯამს წერ ნამრავლის პირველი სტრიქონის მეორე ელემენტად,
პირველი მატრიცის მეორე სტრიქონის პირველ ელემენტს ამრავლებ მეორე მატრიცის პირველ სვეტზე და ჯამს წერ ნამრავლის მეორე სტრიქონის პირველ ელემენტად,
პირველი მატრიცის მეორე სტრიქონის მეორე ელემენტს ამრავლებ მეორე მატრიცის მეორე სვეტზე და ჯამს წერ ნამრავლის მეორე სტრიქონის მეორე ელემენტად
მიმაგრებული სურათი (გადიდებისთვის დაუწკაპუნეთ სურათზე)
ქართველი თუ ხარ, ცეცხლს შენობით ელაპარაკე! მ.ფ.
როცა ერთბაშად ვაგონიდან
შორს, ცისკიდურზე
ჩემი სამშობლოს მთები გამოჩნდნენ -
ჰოი, რარიგად მევიწროვა
მაშინ საყელო! ტ.ი.
ჩაფაან ყორე