ძმურად ამ ორი ამოცანის სისტემა შემიდგინეთ რა, ოღონდ რა საიდან მიიღეთ ეგენიც დამიწერეთ ხვალ საკონტროლოში უნდა დავწერო:
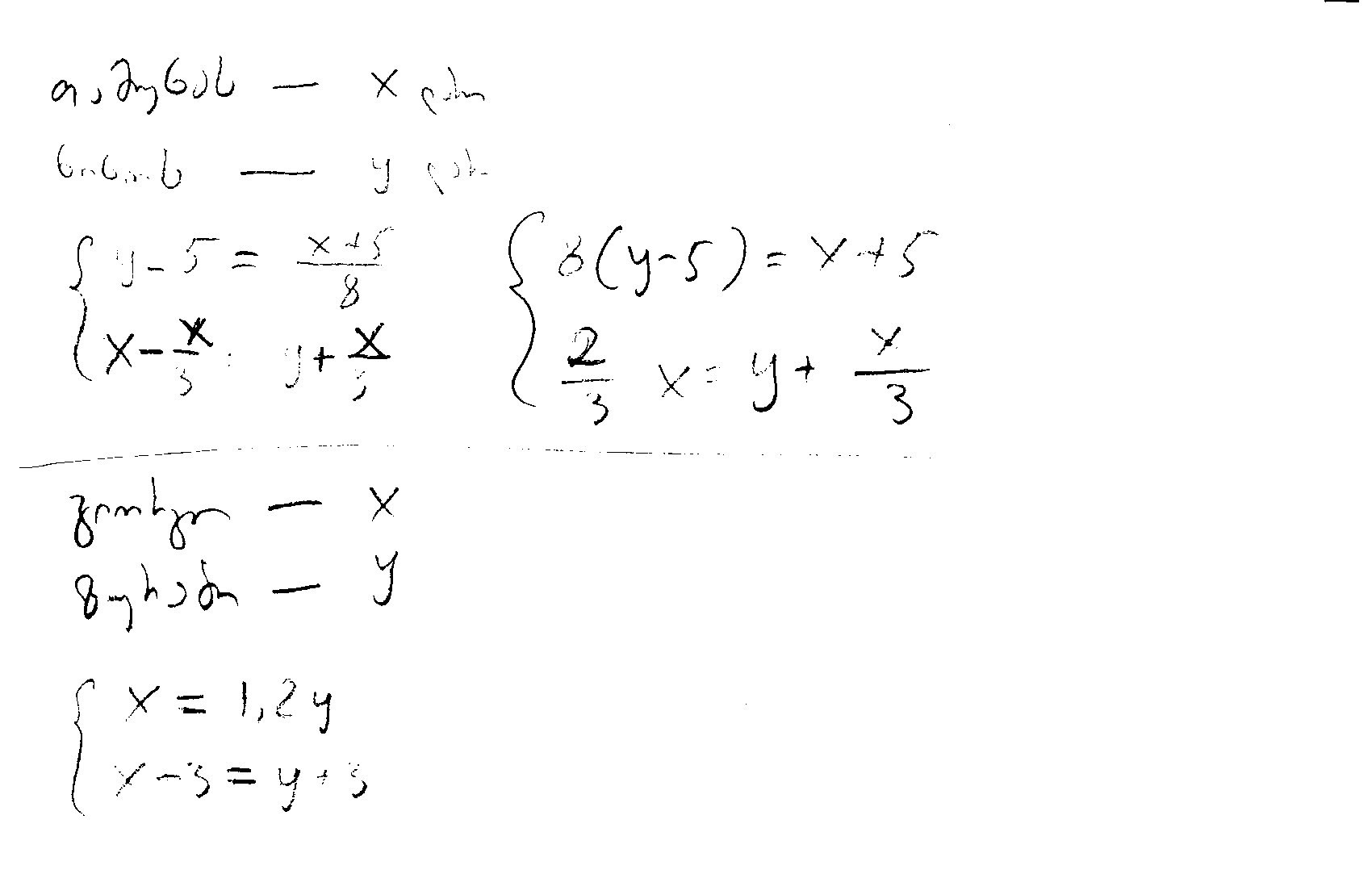
1. თამუნა ეუბნება ნინოს: მომეცი 5 ლარი და მე შენზე 8-ჯერ მეტი თანხა გამიხდება. ნინომ უპასუხა: ჯობს შენ მომცე შენი თანხის მესამედი და ჩვენ თანხები გაგვითანაბრდება. რამდენი ლარი აქვს თამუნას და რამდენი ნინოს?
2. თუ გიორგი მისცემს ზურაბს 3 ლარს, მათი თანხები გათანაბრდება. მანამდე კი გიორგის ზურაბზე 1.2-ჯერ მეტი ტანხა აქვს. რამდენი ლარი აქვს თითოეულ მადგანს?
მარტო სისტემები დამიწერეთ და რა როგორ დაწერეთ
This post has been edited by GIG-100 on 29 Nov 2012, 17:21